Common Power Tube Bias Charts

Thanks to John Davidson for contributing these.



 

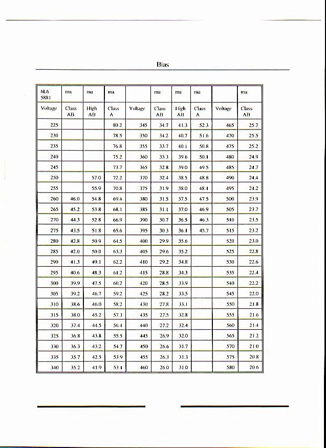
The term "bias" refers to a negative voltage that is applied to a power tube's control grid. This sets the amount of idle current the tube draws. It is important to bias a tube to stay within its rated dissipation for good tone and a reasonable service life.

Below are links to some charts showing recommended bias currents required for some of the more common power tubes at specific plate voltages and amp class.




6L6/5881 Bias Chart

6V6 Bias Chart

EL34 Bias Chart

EL84/6BQ5 Bias Chart

KT66 Bias Chart

KT88/6550 Bias Chart